Inspired by César and his prolific output of papers.[1–7]

MSK – musculoskeletal
key to acronyms
COVID – all contemporary readers are aware of what this is, but if you have found this page from somewhere in the distant future, it refers to a viral epidemic/pandemic caused by a common cold virus (coronavirus) that had clearly changed significantly in one or more animal populations or in a laboratory in Wuhan, China. Of course, if you are reading this from the far future, and you have not already succumbed to climate change or any other misdemeanour of the industrialised liberal capitalist world, you probably already know where Sars-Cov-2 came from… I’d love you to tell us!
OR – odds ratio
A paper popped up on my searches this week with a familiar name as the first author and a theme that could have been relevant to acupuncture – sex differences.[4] But this paper was about COVID symptoms rather than acupuncture. I did not realise that my friend César was doing research on patients with COVID-19.
The first period of lockdown related to the COVID-19 pandemic stimulated a surge of SRs and paper writing activities, and César approached me to help with one of his. I emphasise the one here, because since the beginning of 2021 and as of writing this blog, César has 88 new citations on PubMed, and a grand total of 552 – an extraordinary number for someone who, unlike me, is many years from retirement.
I decided to investigate and realised I had missed quite a lot concerning César and long-COVID. Of the 88 papers he has published since the start of 2021, he has published 24 with ‘post-COVID’ in the title and he has been first author on all of them. He has been first author on 33 of the 88 in total. That is a lot of writing, a lot of hassle with submission systems and a lot of answering peer review comments.
His first paper as first author on COVID came in March 2021 and was his 26th paper of the year to be listed on PubMed.[1] In this he proposes a system for defining post-COVID symptoms, and emphasised that only symptoms that appear after the diagnosis of SARS-CoV-2 infection should be included.[1]
Myalgia in the acute phase of COVID-19 was associated with MSK pain as a long-term post-COVID sequela
His group went on to examine myalgia as a symptom on admission to hospital with SARS-CoV-2 infection in a case-control study.[2] They found that myalgia in the acute phase was associated with MSK pain as a long-term post-COVID sequela. Also, half the patients with existing pain conditions experienced a persistent exacerbation of the same. Myalgia on admission with COVID-19 was associated with a higher percentage of patients with 3 or more post-COVID symptoms – 20% vs 13% without myalgia on admission. However, no difference was observed in fatigue, dyspnoea, anxiety/depression levels or sleep quality between those with and those without myalgia on admission.
Another of his papers randomly assessed 1969 patients from 5 hospitals in Madrid at about 7–10 months after hospital discharge. They found that less than 1 in 5 were free of post-COVID symptoms, whereas 34.4% experience 3 or more symptoms. The most frequent symptoms were fatigue (61.3%) and dyspnoea (23.3%). The following were all independently associated with more long-term post-COVID symptoms:
- Female gender (OR 1.82)
- Number of COVID-19 symptoms on admission (OR 1.31)
- Number of pre-existing medical co-morbidities (OR 1. 81)
- Number of days in hospital (OR 1.01)
This presumably led to another paper specifically on the sex differences, which was the one I spotted recently. They found that female sex is a risk factor associated with long-term post-COVID symptoms but not with COVID-19 symptoms (OR 2.54 for 3 or more post-COVID symptoms).[4]
We already know that men have an increased risk of death (OR 2.41),[8] so there will be more women left who have suffered severe infections and lived to tell the tale, and how badly they are suffering with post-COVID symptoms.
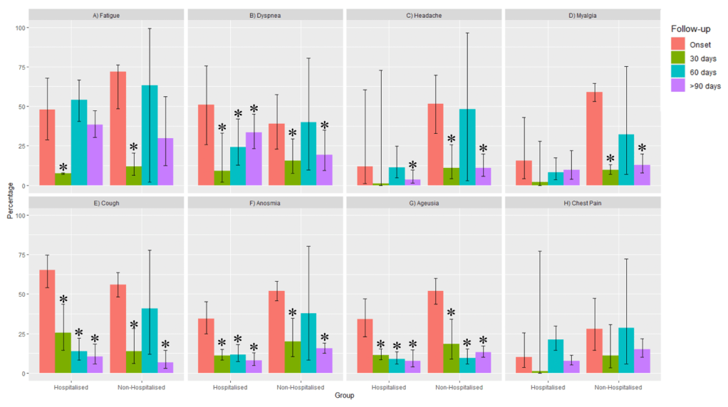
César and his team have gone on to evaluate the time course of the 8 most prevalent COVID-related symptoms and shown that there is a “rolling coaster pattern”, to quote one of his recent letters.[5] In a meta-analysis of 33 studies and 24 255 patients (15 244 hospitalised and 9011 non-hospitalised) they found that symptoms decrease from onset to 30 days, but increase at 60 days and decrease again at 90 days.[6]

References
1 Fernández-de-Las-Peñas C, Palacios-Ceña D, Gómez-Mayordomo V, et al. Defining Post-COVID Symptoms (Post-Acute COVID, Long COVID, Persistent Post-COVID): An Integrative Classification. Int J Environ Res Public Health 2021;18. doi:10.3390/ijerph18052621
2 Fernández-de-Las-Peñas C, Rodríguez-Jiménez J, Fuensalida-Novo S, et al. Myalgia as a symptom at hospital admission by severe acute respiratory syndrome coronavirus 2 infection is associated with persistent musculoskeletal pain as long-term post-COVID sequelae: a case-control study. Pain 2021;162:2832–40. doi:10.1097/j.pain.0000000000002306
3 Fernández-de-Las-Peñas C, Pellicer-Valero OJ, Navarro-Pardo E, et al. Symptoms Experienced at the Acute Phase of SARS-CoV-2 Infection as Risk Factor of Long-term Post-COVID Symptoms: The LONG-COVID-EXP-CM Multicenter Study. Int J Infect Dis Published Online First: 8 January 2022. doi:10.1016/j.ijid.2022.01.007
4 Fernández-de-Las-Peñas C, Martín-Guerrero JD, Pellicer-Valero ÓJ, et al. Female Sex Is a Risk Factor Associated with Long-Term Post-COVID Related-Symptoms but Not with COVID-19 Symptoms: The LONG-COVID-EXP-CM Multicenter Study. J Clin Med 2022;11:413. doi:10.3390/jcm11020413
5 Fernández-de-Las-Peñas C. Are Patients Exhibiting post-COVID Symptoms at 12-months the same than at 5- or 9-Months? The Fluctuating Nature of Post-COVID. Clin Infect Dis Published Online First: 5 January 2022. doi:10.1093/cid/ciac007
6 Fernández-de-Las-Peñas C, Palacios-Ceña D, Gómez-Mayordomo V, et al. Prevalence of post-COVID-19 symptoms in hospitalized and non-hospitalized COVID-19 survivors: A systematic review and meta-analysis. Eur J Intern Med 2021;92:55–70. doi:10.1016/j.ejim.2021.06.009
7 Fernández-de-Las-Peñas C, Martín-Guerrero JD, Cancela-Cilleruelo I, et al. Trajectory curves of post-COVID anxiety/depressive symptoms and sleep quality in previously hospitalized COVID-19 survivors: the LONG-COVID-EXP-CM multicenter study. Psychol Med 2022;:1–2. doi:10.1017/S003329172200006X
8 Barek MA, Aziz MA, Islam MS. Impact of age, sex, comorbidities and clinical symptoms on the severity of COVID-19 cases: A meta-analysis with 55 studies and 10014 cases. Heliyon 2020;6:e05684. doi:10.1016/j.heliyon.2020.e05684
You must be logged in to post a comment.